tips

python

Loupedeck liveでYouTube musicを使いこなす!

Loupedeck live買いました! whooooooo!!kakkoii ところで私は普段、音楽を聞くときYouTube musicを使っています。YouTube Musicってブラウザから操作するのめちゃくちゃめんどくさいですよね。...
tips

異なるpandas.DataFrameをsubplotで同時にplotする

異なるpandas.DataFrameオブジェクトをdf.plot()で同時にplotする方法です。 結論から言うとdf.plot()の引数axを設定すればいいです。
python

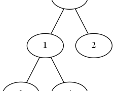
Graphvizで木をplotするときのrootの決め方

edgeを作るときにedge(root,other)という順番で入れる必要がある。#0がrootG=graphviz.Graph(format='png')G.edge('0','1')G.edge('0','2')G.edge('1','...
tips

visual studio 2019でautopep8を使えるようにする

まずpipでautopep8をインストールしておいてください。 ツール→外部ツールから以下の画面を表示します。タイトル:任意コマンド:autopep8.exeへのフルパス引数:--in-place --aggressive --aggres...
tips

iTunesのプレイリストをcloudplayerに移動させる方法

私はiTunesからcloudplayer+google drive体勢に完全に乗り換えると前回の記事でいいましたが、そのときにめんどうなのがプレイリストを移すという作業です。今回このうまいやりかたを見つけたのでここに残しておきたいと思いま...
tips

cloud playerのススメ

私には昔から悩みがありまして、それが「莫大な音楽のデータをどうやって管理するか」という問題です。所有している音楽のデータは容量が大きくなればなるほど扱うのが大変になります。特に持ち歩いたりするとなるとめんどうになりますね。 大量の音楽を持っ...