日記

2023年を振り返る

あっという間に1年経ったという感覚じゃなくて、あれからもう1年も経ったのかという感覚なので、まだ若者ぶっててもいい気がします。 今年は何をしたかというと、ここ数年ずっとそうで、特に何もしていないわけですが、一応日記は書いていこうかなと思いま...
3Dプリント

keyball39を買った、おすすめのキーマップなど

keyball39というキーボードを買いました! 分割型キーボードに親指トラックボールが搭載された革命的キーボードです! これがどんなキーボードなのかは以下の動画を見るのがわかりやすいと思います。この記事は別に読まなくていいです。 私もこの...
python

Loupedeck liveでYouTube musicを使いこなす!

Loupedeck live買いました! whooooooo!!kakkoii ところで私は普段、音楽を聞くときYouTube musicを使っています。YouTube Musicってブラウザから操作するのめちゃくちゃめんどくさいですよね。...
日記

統計検定1級合格しましたレポ

みんなおめがシスターズを見よう こんにちは、フローラです。フームともいいます(twitter: @tiffinstarlight)。 2022年11月に受験した統計検定1級(統計数理、統計応用(理工学))に合格しました! ちなみに統計応用(...
日記

2022年を振り返る

年末なので1年を振り返りたいと思います。とはいえこの記事書こうとして数秒1年を振り返って考えたら全く書くことがなかったので、書かなくていいかなーと思ってしまいました。だけど去年も書いてたのでやっぱり書きます。 今年の前半は正直記憶がありませ...
レビュー

ヘッドホンとアンプ買った(HD800S/UD-505-X)

最近ときのそらさんの曲をめちゃくちゃ聞いてます。 いい曲多いです。 そんなわけでヘッドホンとヘッドホンアンプを買いました。もともと使ってたヘッドホンの音質に不満が出てきてしまったので、強化した感じです。 買ったのはSENNHEISERのHD...
キーボード

HHKB5ヶ月くらい使用した感想

HHKB(Happy Hacking Keyboard Professional HYBRID 無刻印/白(英語配列))を購入してから5ヶ月くらいたったので感想を書きたいと思います。買ったときの感想は以下の記事に書いてありますので、興味があ...
tips

異なるpandas.DataFrameをsubplotで同時にplotする

異なるpandas.DataFrameオブジェクトをdf.plot()で同時にplotする方法です。 結論から言うとdf.plot()の引数axを設定すればいいです。
キーボード

HHKB買った

箱がださい ひゃっほーい。 ずっと気になっていたキーボード『Happy Hacking Keyboard』買いました! 自慢するぜ!!とりあえず開封! まず開ける前の感想としては箱がだっさいですね。バルミューダフォン的なダサさです。本体はか...
solidity

保護中: BSC(BEP20)上に独自トークンを作ってPancakeSwapで誰でも購入できるようにする

このコンテンツはパスワードで保護されています。閲覧するには以下にパスワードを入力してください。 パスワード:
wordpress

twitterの共有ボタンが重いので自作する

twitterのアカウント共有ボタンFollow @PKST_puyo2 が重いです。 これはツイッターの公式ウィジェットですが、これは中身を見てみると<a href=" class="twitter-follow-button" data...
プログラミング

完全二分木では0-indexedより1-indexedのほうがいいよって話

完全二分木はこういうやつです。1-indexedの完全二分木 最下層以外の全部の層がノードで埋められ、最下層のnodeは左に詰められているような二分木です(別の定義もある)。 完全二分木では配列を使って木を管理できることが知られています。具...
python

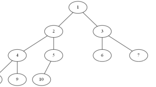
Graphvizで木をplotするときのrootの決め方

edgeを作るときにedge(root,other)という順番で入れる必要がある。#0がrootG=graphviz.Graph(format='png')G.edge('0','1')G.edge('0','2')G.edge('1','...
レビュー

The Ridge半年使用レビュー!!

「The Ridge」という財布を購入して半年程度使っています。あまりにも気に入ったので使用レビューします!特徴マネークリップ この財布はいわゆるマネークリップです。札はクリップに挟み込んで使います。ふたつ折りなら10枚くらい挟んでも大丈夫...
日記

2021年を振り返る

年末なので1年を振り返りたいと思います。とはいえ今年もあまり大きなイベントはなかったですが。 今年一番の変化というと、やはり就職したことですかね。 仕事自体はぼちぼち頑張っています。正直仕事ってexcelでぽちぽちする感じかなーと思ってたけ...
趣味

beatmania IIDX 専用コントローラ プロフェッショナルモデルのE1-E4を光るようにする

実は『beatmania IIDX 専用コントローラ プロフェッショナルモデル』買ってました。なかなか気に入って使っています。 ただひとつ不満があって、E1-E4ボタンが光りません。8万もするんだから最初から光るようにしてほしいとも思うけど...
tips

visual studio 2019でautopep8を使えるようにする

まずpipでautopep8をインストールしておいてください。 ツール→外部ツールから以下の画面を表示します。タイトル:任意コマンド:autopep8.exeへのフルパス引数:--in-place --aggressive --aggres...
python

PyQUBOにおける3乗以上の項の扱い

PyQUBOのドキュメントには3乗以上の項の扱いがあまり詳しく書かれていなかったのでメモ書きしておきます。 そもそもQUBOのQはQuadraticのQなのでコスト函数は2次形式でないといけないわけですが、現実問題として3乗以上の項が含まれ...
レビュー

メインPC組みました

新しいメインPCを組んだので自慢します。 ここ最近のメインPCには、大昔に作った自作PCがぶっ壊れたため、院生のときに買ったsurface goを使っていました。モバイルPCとしてはコンパクトでかなり気に入っていたのですが、CPUがpent...
レビュー

DJ DAOのポップンコントローラー買った

DJ DAOのポップンコントローラー買ったので自慢したい。まあ大昔からあるコントローラーなので、特に新鮮さはないですが。 最近数年ぶりにアーケードのポップンミュージック触ったんですが、めちゃくちゃ楽しいです。そんなわけで勢いに身を任せてポプ...